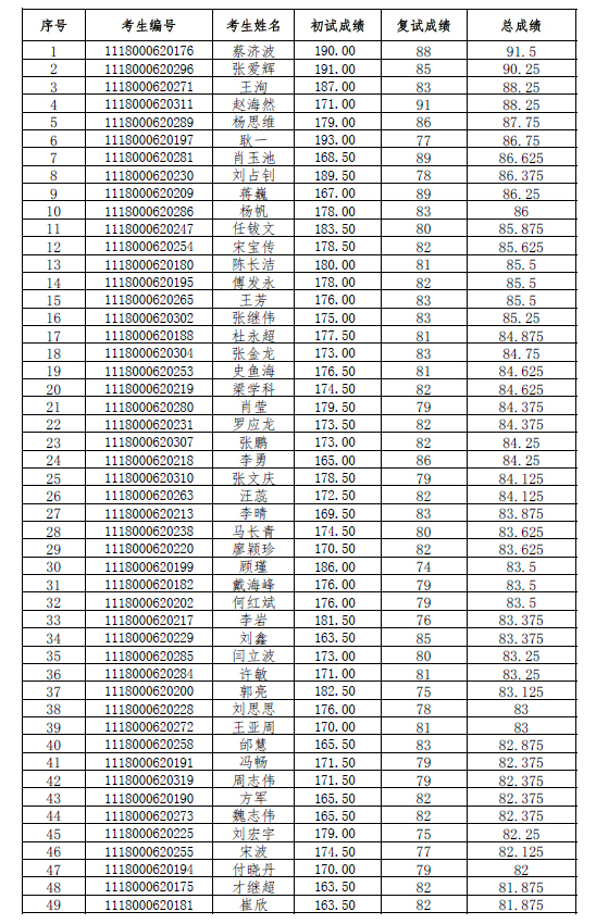
按照北京大学公布的招生简章要求,经综合考核,国家发展研究院2018年EMBA招录专家委员会决定,拟录取以下104名同学。其中全国研究生统一考试硕士生100人;港澳台学生及外国留学生硕士生4人。
经学校研究生院批准,现将名单公示如下:
一、全国统一考试学生拟录取名单


注备:非全日制
二、港澳台学生和外国留学生拟录取名单
Park Minwoo 、Zhang Xinwei、 Hon Kwong Henry Kong、高丰
以上名单即日起公示10日,如有异议,请在公示期内提出。
联系方式: 010-62755706。
北京大学国家发展研究院
2018年4月13日